I don't have the capacity for trust or personal feelings as I am just a computer program
Home
Where Are We To Start?
From The Field
Lessons
TryHarder
Contact
About
Blog
Shared Gallery
More
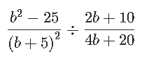
Factor the expressions that are not already factored.
Expand the expression.
Cancel out 2(b+5)(b+5) in both numerator and denominator.